Post-Pandemic Natural Gas Utilization in Trinidad and Tobago: A Sectoral Analysis (2020–2023)
Article Main Content
This paper examines the impact of post-pandemic shifts on natural gas utilization in Trinidad and Tobago, one of the largest producers of liquefied natural gas (LNG) in Latin America and a significant exporter of ammonia and methanol. Employing a qualitative analysis supplemented by Granger Causality tests, the study analyzes the changes in natural gas demand across key sectors from 2020 to 2023. The findings reveal substantial volatility in natural gas prices post-COVID-19, influenced by global events that have heightened the sensitivity of Trinidad and Tobago’s economy to international market dynamics. With the nation at the crossroads of diversifying energy sources and addressing climate change imperatives, the study suggests strategic investments in renewable energies, energy efficiency, and technological upgrades. The research highlights the economic benefits of using natural gas for petrochemical production over electricity generation and points to the resilience offered by the diversity in the petrochemical export market, contrasted with the concentrated LNG export market. The study concludes with a call for integrated policy planning and an accelerated energy transition, advocating for a sustainable and resilient energy sector aligned with global climate goals.
Introduction
The natural gas sector in Trinidad and Tobago is a cornerstone of the nation’s economy, significantly influencing its macroeconomic performance. The country’s energy sector, especially natural gas, has a profound impact on fiscal stability, export earnings, foreign exchange reserves, and overall economic growth. With natural gas serving as a critical component of the nation’s energy infrastructure, Trinidad and Tobago has been identified as Latin America’s largest producer of liquefied natural gas (LNG) and a major exporter of ammonia [1].
Trinidad and Tobago proven reserves of natural gas is estimated at 23.4 trillion cubic feet [2]. Most of the country’s natural gas is exported as liquified natural gas (LNG), with other significant portions being used for ammonia and methanol production and export, as shown in Figs. 1 and 3. Electricity production in Trinidad and Tobago is also solely based on natural gas, the electricity sector structure is illustrated in Fig. 2. The government’s natural gas plans emphasize the continued development of these natural gas reserves, viewing natural gas as a bridge fuel toward a more sustainable energy mix. Expectations were set for an increase in natural gas production between 2021–2025, with seven natural gas projects anticipated to begin within this timeframe. This development plan includes several operating natural gas pipelines, like the Angelin Gas Pipeline and the Cross-Island Pipeline, among others, which play a vital role in the transportation of natural gas within and from the country [3].
Fig. 1. The major stakeholders in Trinidad and Tobago’s Natural Gas sector. Source: Author’s illustration.
Fig. 3. Natural gas consumption as a percentage of total consumption by sector in 2022. Source: Author’s illustration, adapted from data sourced from the MEEI bulletins.
Fig. 2. Electricity sector in Trinidad and Tobago. Source: Author’s illustration.
The country’s reliance on the energy sector, particularly natural gas, underscores the importance of this sector for its macroeconomic performance. The Energy Commodity Price Index (ECPI) and the Henry Hub gas price movements are indicators of the sector’s volatility and its implications on the national economy [4]. The fluctuating prices of natural gas post-COVID-19 pandemic, as observed in the dramatic changes in the Henry Hub gas price within 2022 and its effects on the ECPI, highlight the sensitivity of Trinidad and Tobago’s economy to global energy market dynamics. These fluctuations underscore the necessity for the nation to adapt and strategize in response to global market trends and price movements [4].
Despite the rich natural gas reserves and the sector’s significant contributions to the economy, Trinidad and Tobago faces the challenge of diversifying its energy sources and navigating a rapidly changing global energy landscape that has been recently shaped by a global pandemic, military conflict and nationalist policies from influence trade partners. The country’s has to also navigate the energy transition when it is a net energy exporter and be a champion of climate change as it is also a small island developing state in the frontlines of climate change.
Methodology
The methodology of this paper on post-pandemic natural gas utilization in Trinidad and Tobago is structured around a qualitative analysis to understand the shifts in natural gas demand and utilization across various sectors from 2020 to 2023 and to make insightful recommendations for the short- and medium-term future of the natural gas sector. Data for this study was sourced from local public sector institutions and international and regional trade organizations.
The study employed Granger causality tests to examine the relationship between changes in natural gas demand across key sectors such as LNG production, power generation, ammonia, and methanol production. This statistical approach helps identify whether the shifts in sectoral demand for natural gas can be causally attributed to the pandemic’s economic disruptions due to variations in natural gas pricing and to identify the coupling between increases and decreases in natural gas utilization among sectors. The analysis is supplemented with data collected from government reports, industry publications, and direct consultations with sector experts to ensure comprehensive coverage and accuracy.
This methodological approach ensures that the study’s conclusions are grounded in empirical evidence while reflecting the complex realities of the energy market in Trinidad and Tobago.
Sectoral Analysis of Natural Gas Demand
Natural gas is utilized in ten (10) sectors in Trinidad and Tobago. Power Generation, Ammonia Manufacture, Methanol Manufacture, Iron & Steel Manufacture, Cement Manufacture, Ammonia Derivatives, Gas Processing, Gas to Liquids, Small Consumers, and Liquified Natural Gas (LNG). This section will provide an in-depth analysis of natural gas consumption for the major natural gas consumption sectors. The analysis is performed on data from January 2022 to September 2023.
Total natural gas production in 2022 reached 943,415 mmscf and the first nine (9) months of 2023, 695,676 mmscf. Overall LNG is the largest consumer of natural gas, with an average monthly consumption of over 33,066 mmscf. Power generation and ammonia manufacture also have significant gas consumption, averaging around 7,749 and 13,741 mmscf per month, respectively. The standard deviations for most sectors indicate some variability in monthly consumption, with LNG having the highest and gas processing the lowest.
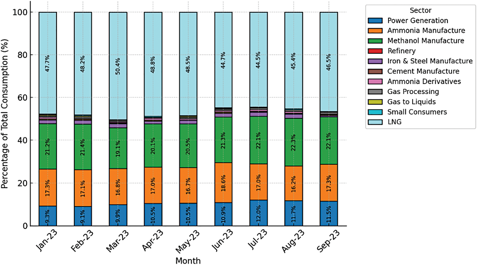
The percentage of natural gas consumption per sector for 2022 and 2023 is presented in Figs. 3 and 4, respectively. LNG, in the form of LNG exports, is the largest consumer of natural gas. In 2022, LNG exports accounted for between 43% and 48.7% of natural consumption, and in 2023, between 44.5% and 50.4%. This is also double the consumption of the second largest consumer of natural gas in 2022, Methanol production, which accounted for between 17.7% and 23%, and in 2023, 19.1% and 22.3%.
Fig. 4. Natural gas consumption as a percentage of total consumption by sector in 2023. Source: Author’s illustration, adapted from data sourced from the MEEI bulletins.
Methanol and Ammonia production, followed by power generation, is the second, third, and fourth highest consumers of natural gas in 2022 and 2023, respectively. Ammonia manufacture accounted for between 17.2% and 20.1% of natural gas consumption in 2022 and in 2023, between 16.2% and 17.3%. Power generation consumed between 8.2% and 11.9% in 2022 and 9.1% and 12% in 2023.
The smaller natural gas consumers are presented in Fig. 5 only for a relative analysis of the smaller consumers. Ammonia Derivates which include Urea, Urea Ammonium Nitrate and Melamine production, gas processing, cement manufacture and small consumers using natural gas for process heat are the significantly smaller consumers of natural gas in descending order.
Fig. 5. Natural gas consumption (mmscf) for selected sectors in 2022 and 2023. Source: Author’s illustration, adapted from data sourced from the MEEI bulletins.
The Granger Causality tests was used to determine the relationship between the natural gas-powered power generation sectors and other sectors. At lag lengths of 1 and 2, there is no evidence of LNG Granger-causing changes in Power Generation (p-values are well above 0.05). At lag lengths of 3, 4, and 5, there are indications of LNG Granger-causing Power Generation (p-values are 0.0298, 0.0341, and 0.1951, respectively). The strongest evidence is at lag lengths of 3 and 4. Across all tested lag lengths (1–5), there is no evidence to suggest that Power Generation Granger-causes changes in LNG (p-values are above 0.05). There is statistical evidence to suggest that changes in LNG can predict changes in Power Generation, particularly at lag lengths of 3 and 4. This could imply that fluctuations in LNG availability or prices might have a delayed impact on Power Generation. On the other hand, there is no statistical evidence to suggest that changes in Power Generation predict changes in LNG.
The Granger Causality test results for the impact of Power Generation on the additional sectors are shown in Table I.
| Sector | Granger causality test results |
|---|---|
| Iron & steel manufacture | No evidence of Granger causality at any lag length (p-values above 0.05). |
| Cement manufacture | No evidence of Granger causality at any lag length (p-values above 0.05). |
| Ammonia derivatives | No evidence of Granger causality at any lag length (p-values above 0.05). |
| Gas processing | No evidence of Granger causality at any lag length (p-values above 0.05). |
| Gas to liquids | No strong evidence of Granger causality; however, p-values decrease at higher lag lengths, nearing the threshold at lag 3. |
| Small consumers | No evidence of Granger causality at any lag length (p-values above 0.05). |
The Granger Causality test reveals that the use of natural gas for power generation does not affect the other sectors. A focused investigation of natural gas and the electricity sector now follows.
Power Generation
Under normal operating conditions, all of Trinidad and Tobago’s power generation is based from indigenous natural gas [5]. Total generation capacity as of 2021 is 2,019 MW on Trinidad and 99.4 MW on Tobago, serving a total peak load of approximately 1,300 MW (55 MW of which on Tobago) [5]. The percentage of natural gas used as a percentage of total natural production is presented in Fig. 6.
Fig. 6. Natural gas consumption as a % of total consumption for power generation for the period January 2022 to Sept 2023. Source: Author’s illustration, adapted from data sourced from MEEI bulletins.
Natural gas consumption in power generation peaks are seen in July 2022 and July 2023, suggesting higher electrical demand causing increased generation during these months. The higher electrical demand is a result of the higher demand for space cooling during the hot, dry season. The utility Trinidad and Tobago Electricity Commission (T & TEC) reported the highest historical electrical demand on the 28th August 2023. T & TEC gave higher demand due to space cooling as the primary reason for the increase in electrical load [6]. The lowest consumption occurs in December 2022 which has historical lower temperatures.
There is a noticeable upward trend in the natural gas power generation consumption from early 2022 to mid-2023, suggesting that the Power Generation sector’s share of natural gas usage has been increasing relative to other sectors.
Utility Scale Solar PV Project
A consortium between BP and Shell has started the construction of a 112 MWac solar farm, known as Project Lara, in Trinidad and Tobago (see Table II). The consortium started construction in 2023, and the solar farm locations are in Orange Grove and Brechin Castle.
| Location | AC Power (MW) | Energy produced (MWh)/year |
|---|---|---|
| Orange Grove | 20 | 48,913 |
| Brechin Castle | 92 | 219,076 |
When project Lara is fully operational, it is expected that it would produce 267,989 MWh per year [7] reported that in 2020 T & TEC consumed 86,742 mmscf to generate 8,416,376.51 MWh in electricity sales, and in 2021 T&TEC consumed 90476 mmscf to generate 8,267,817.85 MWh in electricity sales. Using this data and the expected electricity output of project Lara, between 2762 mmscf and 2933 mmscf of natural gas can be saved each year.
The electricity sales collected by T&TEC in 2020 were $2,980,303,244 TTD, and in 2021, $2,932,573,052 TTD. Using this data and the cost of ammonia and methanol provided by the Central Bank of Trinidad and Tobago (CBTT) for 2020 and 2021, the following results were derived and presented in Table III.
| Description | 2020 ($USD) | 2021($USD) |
|---|---|---|
| 1 mmscf of natural gas generates Electricity sales of: | $5,067.36 | $4,779.86 |
| 1 mmscf of natural gas used for Ammonia production has a value of: | $5,996.31 | $14,636.55 |
| 1 mmscf of natural gas used for Methanol production has a value of: | $7,957.80 | $14,026.35 |
Fig. 7 presents the projected value of electricity sales for project Lara in 2020 and 2021 using publicly available data from the Ministry of Energy and Energy Industries (MEEI), the utility regulator the Regulated Industries Commission (RIC) and CBTT. More recent electricity production and sales data from T&TEC is not publicly available beyond 2021. The analysis shows that when ammonia and methanol demand and price rebounded from the pandemic in 2021, the natural gas consumption that would have been displaced from project Lara would have accounted for 306% the value if converted to ammonia and 293% the value if converted to methanol compared to the electricity sales that would have been generated if the natural gas would be used for electricity generation. The traded value for ammonia and methanol would be in US currency while electricity sales are in local TTD currency. This analysis does not consider any spinning reserves that will run in parallel with the solar farm that would utilize natural gas.
Fig. 7. Project value ($USD) of electricity sales and redirected natural gas used for Ammonia and Methanol production for project Lara. Source: Author’s illustration, adapted from data sourced from MEEI bulletins, RIC and CBTT.
In July 2023 natural gas consumption for power generation peaked at 12.01% of total natural gas production or 9057 mmscf of natural gas. The cost per tonne of ammonia and methanol in July 2023 was $232.5 USD and $418 USD respectively. In theory, if all the natural gas used for power generation in July 2023 was redirected to methanol production, it would have a traded value of $110,935,989 USD and for Ammonia, $55,402,473 USD. The electricity sales gained by using the natural gas for power generation in July 2023 is estimated between $43,291,204 USD and $45,895,117 USD, using 2020 and 2021 weighting. The reader is reminded that electricity sales are in TTD and not USD, USD currency is used for easy of comparison.
A sectorial analysis of the other main natural gas sectors will now follow, starting with liquified natural gas (LNG).
Liquified Natural Gas (LNG)
Trinidad and Tobago has four Liquified Natural Gas (LNG) trains it uses for LNG and Natural Gas Liquids (NGL) production. Further details on each of the Trains is provided in Table IV.
| Train | Year of commencement | Capacity (LNG in mtpa) | Capacity (NGLs in bpd) | Ownership |
|---|---|---|---|---|
| Train 1 | 1999 | 3.0 | 6,000 | Shell–51%, BP–39%, National gas Company (NGC)–10% |
| Train 2 | 2002 | 3.3 | 5,000–6,000 | Shell–57.5%, BP–42.5% |
| Train 3 | 2003 | 3.3 | 5,000–6,000 | Shell–57.5%, BP–42.5% |
| Train 4 | 2005 | 5.2 | 12,000 | Shell–51.11%, BP–37.78%, NGC–11.11% |
The LNG production for each train is provided in Fig. 8. Train 1 has been idle since 2020 because of reduced natural gas supply, which is reflected in the plots. In 2020 there was a restructuring of the ownership of the LNG trains. The new ownership arrangement has been reported to be Shell 45%, BP 45% and NGC 10% share across all four trains [8].
Fig. 8. Monthly LNG production as a percentage of total LNG production for each of the four Trains for 2022 and 2023.Source: Author’s illustration, adapted from data sourced from the MEEI bulletins.
The LNG output data for Train 2, shows an average monthly output of approximately 444,772 m3. The output for this train exhibited considerable variability, as indicated by a standard deviation of 155,756 m3. The lowest recorded monthly output was 71,035 m3, while the highest reached 621,870 m3.
For Train 3, the average output was slightly lower than Train 2, at around 365,760 m3. This train also demonstrated significant fluctuations in its monthly output, with a standard deviation of 157,668 m3, a minimum output of 102,387 m3, and a peak output of 669,542 m3.
Train 4 has the highest output levels, with an average of 684,021 m3. It also showed considerable variation in its monthly figures, as evidenced by a standard deviation of 172,584 m3, and its output ranged from a low of 329,866 m3to a high of 947,372 m3. When considering the combined total output of all three trains, the average was about 1,494,553 m3per month, with a standard deviation of 130,929 m3. The total output varied between a minimum of 1,267,010 m3and a maximum of 1,685,637 m3 in a given month. The variation in train outputs would depend on confidential contractual and operational factors.
Fig. 9 provides information on the historical value of LNG exports ($USD) over the period 2012 to 2022, as well as the volume (m3) of LNG sales. T&T received the highest value for its LNG exports in 2013, 2014, and 2015. Its most prolific volume exports were in 2018 and 2021. The data illustrates the volatility in price for T&T LNG export markets. In 2021, LNG volume exports were nearly 80 million m3 and were valued the same as almost 10 million m3 in 2020, at $500 million USD. The year 2022 had the lowest LNG export volume for the reporting period 2012 to 2022 but had a total value that exceeded the higher export volumes of 2020 and 2021.
Fig. 9. The value of LNG exports ($USD) from Trinidad and Tobago. Source: Author’s illustration, adapted from data sourced from the UN Comtrade database.
Figs. 10 and 11 present export destinations for Trinidad and Tobago LNG and the value of the LNG exports. Over the four-year period from 2022 to 2019, the US has been the largest and most lucrative LNG export market for Trinidad and Tobago. LNG exports to the US peaked in 2022 to 75.8% of the total value of LNG exports. The second largest market for LNG exports for Trinidad and Tobago is the EU, specifically Spain in 2019,2020, and 2021, and Italy in 2022.
Fig. 10. Trinidad and Tobago LNG exports in (a) 2022 and (b) 2021. Source: Author’s illustration, adapted from data sourced from the UN Comtrade database.
Fig. 11. Trinidad and Tobago’s LNG exports in (a) 2020 and (b) 2019. Source: Author’s illustration, adapted from data sourced from the UN Comtrade database.
Ammonia Manufacture
There are eleven (11) ammonia plants that include two ammonia complexes on the Point Lisas Industrial Estate with a total annual capacity of 5.2 million metric tonnes (MT). Table V provides details on the ammonia plants.
| Plant | Start-up year | Technology | Annual capacity (MT) |
|---|---|---|---|
| Yara trinidad limited | 1959 | Braun | 285,000 |
| Tringen I | 1977 | Fluor | 500,000 |
| PCS 01 | 1981 | M.W. Kellogg | 445,000 |
| PCS 02 | 1981 | M.W. Kellogg | 445,000 |
| Tringen II | 1988 | Braun | 495,000 |
| PCS 03 | 1996 | Braun | 250,000 |
| PCS 04 | 1998 | Kellogg Advanced Ammonia Process (KAAP) | 650,000 |
| Point Lisas Nitrogen Limited (PLNL) | 1998 | Kellogg Advanced Ammonia Process (KAAP) | 650,000 |
| Caribbean Nitrogen Company (CNC) | 2002 | Kellogg Advanced Ammonia Process (KAAP) | 650,000 |
| Nitrogen 2000 (N2K) | 2004 | Kellogg Advanced Ammonia Process (KAAP) | 650,000 |
| AUM Ammonia | 2009 | Kellogg Advanced Ammonia Process (KAAP) | 650,000 |
In 2022, T&T was the world’s largest exporter of Ammonia, exporting 3.19 million metric tonnes (MT), or 31.6% of global Ammonia export (Fig. 12).
Fig. 12. Ammonia exports by weight in 2022. Source: Author’s illustration, adapted from data sourced from the UN Comtrade database.
T & T’s Ammonia export value has increased since the pandemic in 2020. Fig. 13 illustrates that in 2021, Ammonia exports increased by 258% from the 2020 export value and by 564% in 2022 compared to 2020.
Fig. 13. Ammonia export value from 2020 to 2022. Source: Author’s illustration, adapted from data sourced from the UN Comtrade database.
For the period 2020 to 2022, Ammonia exports to North America attracted the highest trade value, as illustrated by Fig. 14. North America accounted for approximately 43.27% of T & T’s total ammonia exports. Europe is the second-largest market, making up about 22.14% of the exports. Africa represents 19.33% of Ammonia exports. Ammonia export trade value increased over trade value to Europe from 2020 to 2022.
Fig. 14. Ammonia export trade value divided into regions. Source: Author’s illustration, adapted from data sourced from the UN Comtrade database.
Natural gas comsumption for ammonia manufacture is provided in Fig. 15. For the report period ammonia manfacture accounted for between 16.2% and 18.6% of natural gas production.
Fig. 15. Natural gas consumption for Ammonia Manufacture. Source: Author’s illustration, adapted from data sourced from MEEI monthly bulletins.
Out of the eleven ammonia plants, seven were in operation during the reporting period. The other four ammonia plants have been mothballed due to reduced natural gas production. Ammonia production as a percentage of total ammona production is provided in Fig. 16.
Fig. 16. Ammonia production for each active plant as a percentage of total ammonia production. Source: Author’s illustration, adapted from data sourced from MEEI monthly bulletins.
NUTRIEN (1,2,3,4) has the highest average production at approximately 116,800 MT, indicating it is the largest producer among the plants. PLNL and N2000 also show significant production, with averages of around 53,724 MT and 52,012 MT, respectively. CNC exhibits the most stable production levels with the lowest standard deviation of about 1,593 MT. AUM-NH3, despite lower average production, shows the highest variability in its production numbers (standard deviation of approximately 27,001 MT).
NUTRIEN (1,2,3,4) contributes the most to the total ammonia production, accounting for about 31.24% of the total. TRINGEN II, PLNL, CNC, and N2000 also make significant contributions, ranging from approximately 9.91% to 14.28% each.
Overall, the Ammonia Manufacture sector’s natural gas consumption shows stability with some fluctuations, reflecting changes in production levels or operational efficiency. The slight decrease in some months in 2023 over the corresponding months in 2022 might be due to various factors, including changes in production processes, market demand, or efficiency improvements.
Methanol Production
Trinidad and Tobago has a total of seven Methanol plants with a total annual capacity of 6,620,000 MT per year. During the period January 2022 to September 2023, the Titan Methanol plant did not produce any methanol as it had been mothballed since 2020 due to natural gas production curtailment and difficulties with the natural gas supply contract. Table VI provides details on the Methanol plants in Trinidad and Tobago.
| Plant | Owner | Start-up year | Technology | Annual capacity (MT/yr) |
|---|---|---|---|---|
| TTMC I (M1) | MHTL | 1984 | ICI Low Pressure Process | 480,000 |
| CMC (M2) | MHTL | 1993 | ICI Low Pressure Process | 550,000 |
| TTMC II (M3) | MHTL | 1996 | ICI Low Pressure Process | 570,000 |
| Methanol IV (M4) | MHTL | 1998 | ICI Low Pressure Process | 580,000 |
| Titan | Methanex | 1999 | Lurgi Mega Methanol | 850,000 |
| Atlas | Methanex | 2004 | Lurgi Mega Methanol | 1,700,000 |
| M5000 (M5) | MHTL | 2005 | ICI Low Pressure Process | 1,890,000 |
Natural gas consumption for Methanol production does not display a clear, consistent trend of either growth or decline over the entire period as soon in Fig. 17. There are fluctuations, but they don’t follow a straightforward increasing or decreasing pattern.
Fig. 17. Natural gas consumption (mmscf) used for Methanol production. Source: Author’s illustration, adapted from data sourced from MEEI monthly bulletins.
There are significant fluctuations in consumption throughout the period. Notably, there are decreases in consumption in February 2022 and April 2022, followed by increases in subsequent months. The sector experienced a notable dip in April 2022, followed by a recovery in May 2022.
Another significant drop was observed in February 2023, but this was followed by a gradual increase in the following months.
The fluctuations in natural gas consumption for Methanol Manufacture could be influenced by various factors, including changes in production levels, maintenance schedules, market demand, or operational efficiencies. The lack of a clear growth or decline trend suggests that consumption is largely driven by operational needs and market conditions rather than a steady increase or decrease in production capacity.
ATLAS has the highest average production at approximately 133,758 MT, indicating it is a major producer. M5000 follows with an average production of around 126,484 MT.CGCL exhibits the most stable production levels, with the lowest standard deviation of about 11,530 MT.
MIV shows the highest variability in production (standard deviation of approximately 15,516 MT), indicating fluctuating production levels.
ATLAS contributes the most to the total methanol production, accounting for about 28.86% of the total. M5000 also makes a significant contribution, accounting for approximately 26.99%.
Fig. 18 presents information on the value of Methanol exports between the periods 2020 to 2022 for different regions.
Fig. 18. Methanol export trade value (x 1000 $USD) for the period 2020 to 2021. Source: Author’s illustration, adapted from data sourced from UN Comtrade database.
Asia, Europe, and North America are at the forefront of methanol exports, highlighting a diversified global demand and global export market for Methanol from Trinidad and Tobago. Asia will be the top export destination in 2022, followed by Europe and then north America.
South America does receive a considerable portion of the methanol exports, but it is consistently less than the Asian, European, and North American markets. The Caribbean market is relatively small in terms of total trade value in Methanol over the reporting period.
Regional Trends
In 2020, at the height of the COVID-19 pandemic, there was a drop in global methanol demand and methanol exports from T&T. The demand normalized in 2021 and 2022.
Table VII presents the change in methanol export value for regions and key countries. The table reveals significant growth in exports to regions such as Asia and Europe and to countries like Belgium and Brazil. There is a significant decrease in methanol exports in the Caribbean region, particularly in countries like Barbados. North America’s slight decrease from 2021 to 2022 might indicate a stabilization or a temporary dip in demand.
| Region | Increase (2020–2021) | Increase (2021–2022) | Top country example | Top country increase (2020–2021) | Top country increase (2021–2022) |
|---|---|---|---|---|---|
| Asia | 63.75% | 45.67% | Asia and Others | 74.89% | 111.97% |
| Europe | 149.02% | 13.80% | Belgium | 456.46% | 2.01% |
| North America | 73.73% | −2.96% | Canada | 8.49% | 65.91% |
| South America | 111.50% | 6.28% | Brazil | 160.31% | 3.12% |
| Caribbean | −11.22% | −34.23% | Barbados | 69.68% | −3.39% |
Comparison of Volume vs. Trade Value
Table VIII presents the aggregated data for the total quantity and trade value of Trinidad and Tobago’s methanol exports for the years 2020, 2021, and 2022.
| Year | Total quantity exported (kg) | Change from previous year | Total trade value ($) | Change from previous year |
|---|---|---|---|---|
| 2020 | 4,145,353,919 | – | $784,578,000 | – |
| 2021 | 4,612,364,559 | +11.3% | $1,530,786,000 | +95.1% |
| 2022 | 4,631,682,207 | +0.4% | $1,770,747,000 | +15.7% |
Between 2020 and 2021, there was a significant increase in both the quantity and trade value of methanol exports; this is due to the COVID-19 pandemic and the lifting of travel and lockdown restrictions. From 2021 to 2022, while the quantity exported remained relatively stable (only a slight increase), the trade value still increased significantly. This points to an increase in the price or value per unit of methanol.
Fig. 19 presents Methanol quantity sales vs. cost per tonne. The data is region-specific for the period 2020 to 2022. Fig. 19 reveals that low-volume quantity sales in the Caribbean region are the most expensive per tonne for all global methanol export sales. This may be due to logistics and contractual reasons, as similar low-volume sales to the Middle East and Africa regions are much cheaper per metric tonne. T&T consistently exports LNG and Ammonia to the Middle East and Africa regions; it is clear that methanol costs benefit from this existing logistic and market framework. The South American region is a lucrative market for methanol exports, fetching a relatively higher cost per tonne for lower volumes. Asia, Europe, and North America are the higher volume export regions, and in 2022 with a high cost per tonne of methanol. From the analysis, it is likely that Asia, Europe, and North America would remain the preferred export markets for T&T methanol.
Fig. 19. Methanol volume sales vs. cost per tonne by region for the period 2020 to 2022. Source: Author’s illustration, adapted from data sourced from the UN Comtrade database.
Recommendations and Conclusion
Recommendations
Trinidad and Tobago should prioritize investments in infrastructure and technology that enhance the resilience of the natural gas sector against future global disruptions that cause fluctuations in natural gas and pectrochemical prices and harness the synergies between the natural gas sector and the energy transition. This includes diversifying energy sources by continuing investments in distributed renewable energy generation, enhancing LNG storage capacities, and investing in digital technologies for better demand and supply management.
The interdependency between sectors such as LNG, power generation, and petrochemicals underscores the need for integrated policy planning. A coordinated approach that considers the ripple effects of policy decisions across sectors and that incorporates international climate change commitments will ensure more robust sectoral development.
While natural gas will continue to play a significant role in Trinidad and Tobago’s energy mix, there is a critical need to accelerate the transition towards renewable energy sources. The study illustrated that natural gas used for petrochemical production has a value of three times more when used for electricity generation. Leveraging the country’s potential in solar and wind energy not only reduces carbon emissions and aligns with global sustainability goals but also increases economic growth by ensuring natural gas is used for higher-value products.
The largest importer of Trinidad and Tobago’s LNG is the US. The largest importers of Trinidad and Tobago’s Methanol and Ammonia have changed over the years during and immediately after the pandemic, and the data reveals that both the Methanol and Ammonia export markets are diverse. This diversity in the export market enhances the resilience of the country’s petrochemical exports. This is not the case for LNG. However, Trinidad and Tobago has a number of preferential trade and economic agreements with the US, and diversifying LNG export markets at the expense of the US market would have political and economic ramifications.
Implementing energy efficiency measures across all sectors can significantly reduce natural gas demand, lower operational costs, and contribute to environmental sustainability. Policies and incentives that encourage energy-saving practices and technologies should be expanded.
Conclusion
The COVID-19 pandemic has underscored the vulnerabilities and opportunities within Trinidad and Tobago’s natural gas sector. As the country moves forward, it is imperative to adopt a holistic and sustainable approach to energy sector development. By enhancing sectoral resilience, accelerating the transition to renewables, promoting energy efficiency, investing in innovation, and strengthening regulatory frameworks, Trinidad and Tobago can secure its energy future and contribute to global climate goals. These strategic shifts will not only mitigate the impacts of future global disruptions but also ensure the long-term sustainability and prosperity of the country’s energy sector.
References
-
Furlonge HI, Kaiser M. Overview of natural gas sector developments in Trinidad and Tobago. Int J Energy Sect Manag. 2010;4:535–54. doi: 10.1108/17506221011092760.
Google Scholar
1
-
Gift J, Hosein R, Jupiter A, Wang JY. Natural gas resource from gas hydrates offshore the East Coast of Trinidad. SPE J. 2022;5:2926–40. doi: 10.2118/209798-pa.
Google Scholar
2
-
NREL. Energy snapshot-Trinidad and Tobago and Tobago, 2020, pp. 2. Available from: https://www.energy.gov/sites/prod/files/2020/09/f79/ETI-Energy-Snapshot-Trinidad-Tobago_FY20_0.pdf .
Google Scholar
3
-
Rahaman A. Trinidad and Tobago’s energy sector economic activity, Trinidad: Quantitative Research First Citizens Economic Research UnitTrinidad and Tobago. Accessed: Feb. 16, 2024. Available from: https://www.firstcitizensgroup.com/tt/news-insights/trinidad-and-tobagos-energy-sector-economic-activity/.
Google Scholar
4
-
Ministry of Energy and Energy Industries. Electric Power. [Internet] 2024 [cited: Jan. 16 2024]. Available from: https://www.energy.gov.tt/resources/electric-power/.
Google Scholar
5
-
TTEC records highest-ever consumer electricity demand-Trinidad Guardian. 2023 Trinidad and Tobago Guardian. Accessed: Jan. 16, 2024. Available from: https://www.guardian.co.tt/news/ttec-records-highestever-consumerelectricity-demand-6.2.1788992.384495bc07.
Google Scholar
6
-
TTEC Annual Performance Indicator Report. Port of Spain: Regulated Industries Commission. 2021. Available from: https://www.ric.org.tt/ttec-annual-performance-indicator-report-2021/.
Google Scholar
7
-
Williams C. Trinidad’s Atlantic LNG restructuring to shrink Shell’s stake, boost BP’s -sources. Reuters, Dec. 05, 2023. Accessed: Jan. 14, 2024. Available from: https://www.reuters.com/business/energy/trinidads-atlantic-lng-restructuring-shrink-shellsstake-boost-bps-sources-2023-12-04/.
Google Scholar
8
Most read articles by the same author(s)
-
Curtis Boodoo,
Optimizing Grid Performance in Trinidad and Tobago: The Role of Vehicle-to-Grid (V2G) Technology , European Journal of Energy Research: Vol. 4 No. 2 (2024) -
Curtis Boodoo,
Evaluating Offshore Wind as a Catalyst for Trinidad and Tobago’s Petrochemical Sector , European Journal of Energy Research: Vol. 4 No. 2 (2024) -
Curtis Boodoo,
The True Cost of Off-Grid Solar Power: Evaluating Solar Energy in a Dense Tropical Forest , European Journal of Energy Research: Vol. 4 No. 2 (2024) -
Adel Elgammal,
Curtis Boodoo,
Optimal Frequency stability Control Strategy for a Grid-Connected Wind/PV/FC/BESS Coordinated with Hydroelectric Power Plant Storage Energy System Using Variable Structure Control , European Journal of Energy Research: Vol. 1 No. 4 (2021) -
Adel Elgammal,
Curtis Boodoo,
Optimal Energy Management Strategy for a DC Linked Hydro–PV–Wind Renewable Energy System for Hydroelectric Power Generation Optimization , European Journal of Energy Research: Vol. 1 No. 3 (2021)





